queue reform
Seattle City Light presented its proposal for the Bonneville Power Administration’s overhaul of the transmission planning process, saying the agency should offer interim conditional firm service to most developers in the 61-GW transmission service queue.
If just 10% of the land-based renewables in PJM’s generator interconnection queue had been developed, the total cost of the RTO’s 2026/27 capacity auction would have been reduced by $3.5 billion, according to an analysis GridLab commissioned by Aurora Energy Research.
MISO’s generator interconnection queue has fallen to 215 GW as developers cut back on projects in response to the federal phaseout of renewable energy tax incentives, RTO leadership said.
FERC approved a controversial MISO proposal to create a fast lane for certain reliability-related projects in the RTO’s interconnection queue — just two months after rebuffing an earlier version of the plan.
FERC approved most of NYISO’s proposed plan to comply with Order 2023, denying several of its proposed variations to the commission’s pro forma rules and directing the ISO to submit an additional compliance filing in 60 days.
MISO’s proposal to use a temporary “fast lane” in its interconnection queue to speed up necessary resource additions would give utility-owned generation preferential treatment, according to protesters’ comments filed with FERC.
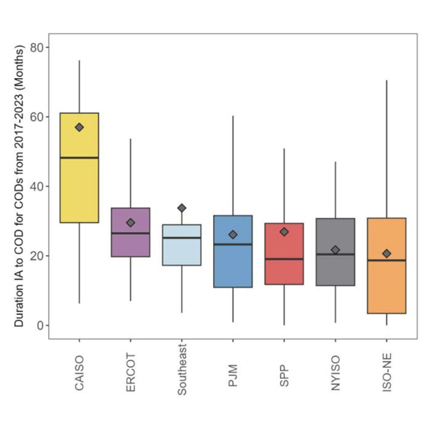
MISO members haven’t landed on easy answers in getting the approximately 54 GW of unfinished generation that has cleared the interconnection queue online sooner.
MISO hopes to become the next RTO with a limited express lane in its interconnection queue to help get badly needed generation online faster.
FERC approved a one-time measure by PJM to add up to 50 new projects to a cluster of projects to be studied beginning in April.
MISO is pushing back a restart of its swamped generator interconnection queue by a few months while it tries to study through the backlog with tech company Pearl Street.
Want more? Advanced Search










